
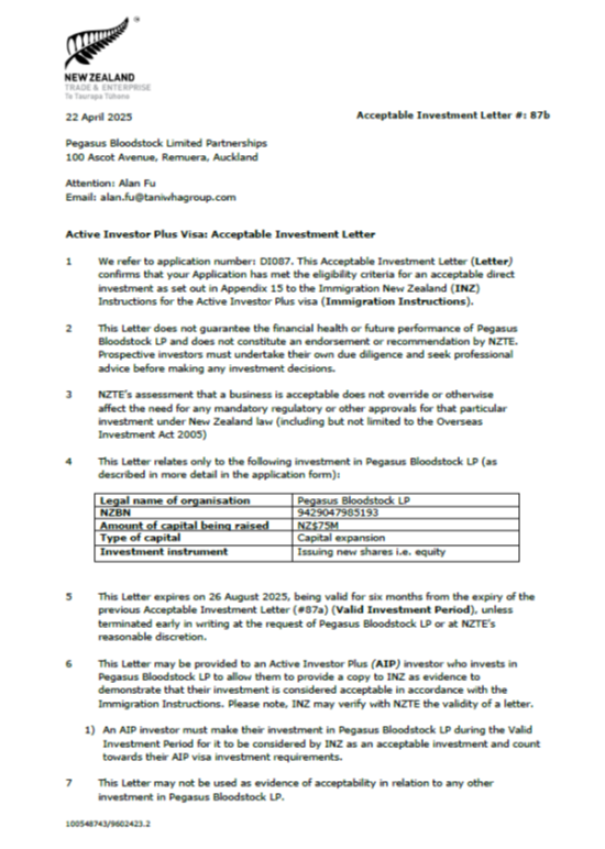
Pegasus Bloodstock LP (PBLP) |
뉴질랜드 경주마 산업과 투자이민의 결합
1. 회사 개요
Pegasus Bloodstock LP (PBLP)는 뉴질랜드에 본사를 둔 경주마 전문 투자회사로,
호주, 홍콩, 일본, 싱가포르에 지사를 보유한 글로벌 파트너십 기업입니다.
순혈마(서러브레드) 산업의 전 과정인 번식, 매매, 경주에 투자합니다.
주요 자산:
-
번식용 암말
-
경주마
-
자마 및 씨수말
2. 사업 구조 및 투자 방식
산업 가치사슬 흐름:
-
번식 및 육성
-
경매 매입/매각
-
경주 참여
-
상금 획득 및 교배료 수익
-
재판매 또는 씨수말 전환
포트폴리오 구성:
| 투자 부문 | 투자 비중 | 회수 기간 | 연수익률(평균) | 리스크 등급 |
|---|---|---|---|---|
| 브리딩 | 50~60% | 3~5년 | 15~20% | 낮음 |
| 핀후킹 | 30~40% | 4~10개월 | 10~30% | 중간 |
| 레이싱 | 10% | 2~5년 | 불확실 (고수익 가능) | 높음 |
3. 핵심 투자전략
3-1. 브리딩(Breeding)
-
목표: 씨수말 및 자마 생산을 통한 안정적 수익
-
전략: 우수 혈통 암말 매입, 국제 공동소유, 경매 타이밍 운영
-
장점: 안정적 수익, 교배료 수입, 시장에서 환금성 높음
3-2. 핀후킹(Pinhooking)
-
목표: 경매 시세차익
-
전략: 저평가 말 구매 후 단기 보유 후 고가 경매 매각
-
장점: 단기 투자 회수, 시장 변동성에 유연 대응
3-3. 경주(Racing)
-
목표: 상금 수익 및 씨수말 가치 창출
-
전략: 고품질 말 선별, 건강 및 트레이닝 집중관리
-
리스크 관리: 투자비중 10% 이내 유지, 공동 소유로 리스크 분산
4.종마 프로젝트 – ‘Potager’
-
2022 일본 GI 대회 우승마
-
일본 경주마 전설 Deep Impact의 직계 자손
-
신규 씨수말 시장 진출 전략:
-
일본계 혈통 수요 급증
-
형제마들은 교배료 3배 이상 상승
-
뉴질랜드 시장 내 희소성 확보
-
예상 수익률:
-
평균 연 29.7% (5년 기준)
-
3년 원금 회수 + 2년 안정 수익
-
보험을 통한 리스크 완충 가능
5. 투자이민 회원 혜택
-
홍콩경마 등록용 무료 임대마 제공
-
뉴질랜드 프라이빗 승마 클럽 이용
-
자녀 승마 및 엘리트 교육 연계
-
국제 말산업 행사 초청 및 VIP 라운지 이용
6. 뉴질랜드 투자이민 연계
PBLP는 뉴질랜드 정부의 공인 투자이민 프로그램과 연계된 투자처입니다.
영주권 취득 요건을 충족할 수 있는 구조로 설계되어 있습니다.
투자이민 요약:
| 이민 유형 | 최소 투자금액 | 투자기간 | 주요 조건 |
|---|---|---|---|
| 성장형 (Growth) | NZ$500만 | 3년 | 직접 기업 투자 |
| 균형형 (Balanced) | NZ$1,000만 | 5년 | 안정적 자산 포함 가능 |
특징:
-
언어 요건 없음
-
뉴질랜드 및 호주 거주권 확보
-
글로벌 투자자 및 고소득층 선호
7. 상담 및 문의
서울이민에서는 PBLP 투자 및 뉴질랜드 영주권 연계 뉴질랜드 투자이민 컨설팅을 전문적으로 제공합니다.
-
투자금 구조 분석 및 수익 모델 설명
-
이민서류 대행 및 리스크 컨설팅
-
뉴질랜드 현지 실사 및 법률 자문 지원









